Stabilizacja glikemii pacjentów OIOM przy użyciu regulatora LQ

Waldemar Bauer, Paweł Płuciennik drukuj

Tab. 1. Parametry modelu ICU-MM [Parameters of ICU-MM]

Tab. 1. Parametry modelu ICU-MM [Parameters of ICU-MM]

Artykuł poświęcony jest rozważaniom na temat sposobu automatycznej regulacji poziomu cukru we krwi pacjenta oddziału intensywnej opieki medycznej (OIOM). Opisano w nim model ICU-MM oraz proces projektowania regulatora LQ na podstawie modelu. Omówiono też dwa warianty sterowania systemem (za pomocą insuliny oraz glukozy z insuliną). Na koniec zaprezentowano aplikację wykonaną w języku Python umożliwiająca symulację glikemii pacjenta OIOM.

 

Stabilization ICU patient glycaemia with LQ controller

Abstract – This article is devoted to reflection about how to automatically control the blood sugar level of the ICU patient. It will describe ICU-MM model and process of designee LQ controller regulator which is based on this model. Two variants of control will be considered (using insulin and glucose with insulin). Finally an application for ICU blood glucose level patient simulation, implemented within Python environment, will be discussed.

 

1. Wstęp

Stan hiperglikemii medycyna defi niuje jako zaburzenie metaboliczne powodujące długotrwałe (ponad dwie godziny od spożycia posiłku) utrzymywanie się poziomu glukozy w osoczu krwi powyżej poziomu 110 mg/dl.

Problem ten, z pozoru charakterystyczny jedynie dla osób cierpiących na cukrzycę, dotyka w sposób szczególny także inną grupę chorych – pacjentów oddziałów intensywnej opieki medycznej (OIOM). W tym przypadku pacjent nie musi być cukrzykiem, by wystąpiła u niego hiperglikemia; wystarczy, że zostanie poddany silnemu działaniu stresu i będzie miało miejsce zaburzenie wewnętrznej homeostazy (zdolność organizmu do zachowania równowagi) organizmu chorego.

Powodem, dla którego hiperglikemia jest zjawiskiem niepożądanym zarówno u osób chorych na cukrzycę, jak i pacjentów przebywających na oddziale OIOM, są jej powikłania. Nawet krótkotrwała hiperglikemia może prowadzić do zwiększenia ryzyka infekcji i czasu gojenia ran, zwiększenia ryzyka bakteriemii i fungemii, zwiększenia prawdopodobieństwa wystąpienia zastoinowej niewydolności serca oraz wstrząsu kardiogennego, chorób stawów, zmian naskórnych, chorób naczyniowych mózgu, śpiączki cukrzycowej, niewydolności nerek.

Interesujące wydaje się stworzenie systemu, który będzie w stanie w krótkim czasie i w bezpieczny sposób, na podstawie aktualnego stanu pacjenta, dobierać dawki insuliny i glukozy w sposób optymalny, a w efekcie przyspieszyć uzyskanie prawidłowej glikemii.

2. Intensive Care Units-Minimal Model (ICU-MM)

Omówimy teraz model służący do opisu dynamiki poziomu cukru we krwi pacjenta, w którym kolejne estymacje glikemii pacjenta są oparte zarówno na insulinie endogennej, jak i insulinie oraz glukozie egzogennej. Cechy te ma zaproponowany w 2007 r. Intensive Care Units-Minimal Model [7].

Model ten jest opisywany za pomocą układu nieliniowych równań różniczkowych:

(1)
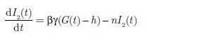
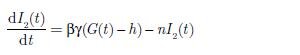
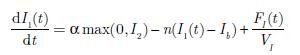
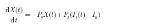
(2)
(3)
(4)

Jak można zauważyć, poszczególne równania są od siebie zależne. W równaniu (1) wykorzystywana jest wartość zmiennej X(t), której stan określa równanie różniczkowe (2). Równanie to jest zależne od I1(t), którego wartość wyznacza równanie (3) itd. Schemat blokowy systemu przedstawia rys. 1 [4]. Wszystkie parametry opisywane tab. 1 pochodzą z [7].

Ponieważ większość pacjentów w stanie krytycznym nie choruje na cukrzycę, insulina wytwarzana przez trzustkę jest ciągle aktywna i może wspomagać leczenie. Dostarczanie pewnej ilości insuliny za pomocą pompy insulinowej jest wskazane u większości chorych w celu zwiększenia efektywności leczenia. System opisany równaniami (1)–(4) może zatem zostać wykorzystany do konstrukcji systemu automatycznego nadzoru stanu glikemii pacjenta OIOM.

3. Konstrukcja regulatora LQ

W tym miejscu przejdziemy do opisu czynności niezbędnych do konstrukcji regulatora, który pozwoli na szybki jak i bezpieczny sposób regulacji poziomu glikemii we krwi pacjenta.

Do zaprojektowania sterowania systemu (1)–(4) rozwiążemy problem liniowo kwadratowy dla systemu zlinearyzowanego

(5)

i wskaźnika jakości

(6)

gdzie:

W, R są stałymi macierzami rzeczywistymi,

Jeżeli para (A; B) jest stabilizowalna a para (W; A) wykrywalna, to istnieje sterowanie optymalne minimalizujące wskaźnik jakości (6) o postaci:

(7)
(8)

gdzie D=DT>0 jest rozwiązaniem równania różniczkowego:

(9)

Dokonamy teraz linearyzacji systemu (1)–(4) i zaprojektujemy regulator dla systemu zlinearyzowanego. System (1)–(4) ma tylko jeden punkt równowagi i jest to [3]:

(10)

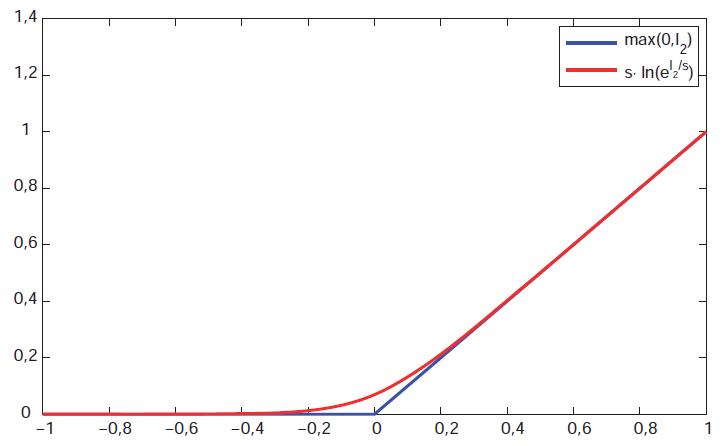
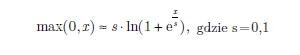
By przejść do linearyzacji systemu (1)–(4) konieczne jest takie przybliżenie nieróżniczkowalnej funkcji max(0, x), aby możliwe było obliczenie macierzy Jacobiego systemu. Opierając się na pracy [6] będziemy używać następującej aproksymacji

(11)

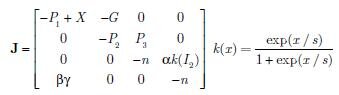
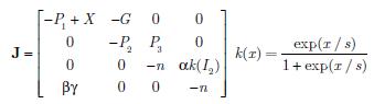
Dzięki przeprowadzonym obliczeniom można wyznaczyć macierz Jacobiego prawej strony układu równań systemu (1)–(4)

(12)

Po podstawieniu punktu równowagi do macierzy Jacobiego systemu (1)-(4) uzyskuje się macierz A systemu zlinerayzowanemu

(13)

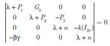
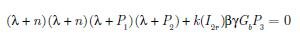
Zbadamy teraz stabilność punktu równowagi systemu, w tym celu musimy wyznaczyć pierwiastki wielomianu charakterystycznego W(λ) = det(λIA), czyli rozwiązać równanie

(14)

Po przekształceniach otrzymujemy

(15)

Zgodnie z tab. 1 mamy

(16)

Z tego powodu możemy bazować na przybliżeniu (uzasadnia to rys. 3)

(17)

Stąd łatwo oszacować części rzeczywiste wartości własnych macierzy A

(18)

Na tej podstawie możemy stwierdzić, że punkt równowagi systemu (1)–(4) jest asymptotycznie stabilny w sensie Lapunowa.

Ostatnim etapem przed doborem sterowania dla systemu jest sprawdzenie, czy para (AB) i (WA) są odpowiednio stabilizowalna i wykrywalna. Będziemy bazować na twierdzeniach.

Twierdzenie 1. Para macierzy (AB) jest stabilizowalna wtedy i tylko wtedy, gdy:

gdzie n jest wymiarem macierzy A. (np. [9])

Twierdzenie 2. Para macierzy (WA) jest wykrywalna wtedy i tylko wtedy, gdy para macierzy (ATWT) jest stabilizowalna (np. [9]).

Nasz system będzie sterowany za pomocą dwóch typów sterowania:

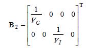
  • sterowanie jedynie insuliną, dla którego macierz sterowania ma postać:
(19)
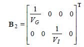
  • sterowanie glukozą i insuliną, dla którego macierz sterowania ma postać:
(20)

Ponieważ macierz A jest asymptotycznie stabilna więc na mocy twierdzenia 1 pary (AB1) i (AB2) są stabilizowalne. Analogicznie para macierzy (WA) jest wykrywalna dla każdej macierzy W o odpowiednich wymiarach

Sterowanie systemem

Sterowanie insuliną

Dla tego przypadku sterowania macierze wagowe zostały dobrane w następujący sposób:

Otrzymujemy zatem macierz K1postaci:

Widzimy, że sterowanie to nie zmienia trajektorii systemu podstawowego. Zatem możemy uznać, że sterowanie to jest nieskuteczne.

Dzieje się tak ponieważ, macierz S=[λiIA|B1] dla i = 1, 2, 3, 4 ma pełny rząd, jednak jej minory stopnia 4 mają wartości rzędu 10–15. W konsekwencji mamy do czynienia z sytuacją, gdzie układ jest praktycznie niesterowalny i rząd macierzy S wynika z błędów numerycznych, a nie z właściwości systemu.

Sterowanie glukozą i insuliną

Dla tego przypadku sterowania macierze wagowe zostały dobrane w następujący sposób:

Macierz K2przyjmie postać:

Zastosowane w tym przypadku sterowanie jest bardzo skuteczne. Pożądany poziom cukru dla badanych parametrów osiągnięty został po około 200 minutach. Poza znaczną poprawą zbieżności systemu, należy wspomnieć też o innej korzyści wynikającej z zastosowanego rozwiązania: podawana glukoza pozwoliła zredukować drastyczny spadek poziomu cukru dużo poniżej wartości ustalonej. Minimalna wartość glukozy we krwi zarejestrowana została na poziomie 87,49 mg/dl. Jest to wynikiem znacznie lepszym niż w modelu autonomicznym, gdzie cukier osiągał poziom nawet 63,97 mg/dl.

5. Implementacja symulatora

W celu sprawdzenia omawianych sterowań została opracowana internetowa aplikacja w języku Python [11]. Wykorzystywane są w niej biblioteki NumPy, SciPy, Django, Matplotlib, Python Control System Library oraz JQuery. Program pozwala użytkownikowi na ustawienie podstawowych wartości parametrów opisujących model oraz wyboru typów symulacji, jakie zostaną wykonane. W rezultacie generowane są wykresy wybranych wariantów oraz podsumowania opisujące każdą symulację. Symulacje są wykonywane w środowisku Python. Istnieje również możliwość zapisu przeprowadzonych symulacje do pliku PDF.

6. Podsumowanie

W dobie świata zmagającego się z chorobami cywilizacyjnymi coraz bardziej palącym problemem staje się cukrzyca i związane z nią powikłania. Obecnie u ponad 5 % ogółu populacji występuje zespół problemów metabolizmu cukru. W wielu przypadkach prowadzi on do ciężkich powikłań które mogą się kończyć nawet utratą życia chorych.

Zauważmy również, że nadal nie istnieją efektywne metody leczenia tego stanu, a obecnie znane wymagają od pacjentów i lekarzy stałego monitorowania stanu glikemii [8, 10]. W ten sposób marnowany jest czas i środki, które można przeznaczyć na rozwój medycyny.

Uważamy, że konstrukcja automatycznego systemu dozoru stanu glikemii, nie tylko u pacjenta oddziału OIOM, jest jednym z większych wyzwań jakie stawiane są przed ekspertami w dziedzinie automatyki i teorii sterowania. Nasz projekt pokazuje, w niewielkim zakresie, jak można rozwiązać ten problem. Zdajemy sobie również sprawę, że opracowane przez nas rozwiązania są jedynie wstępem do realizacji pełnie automatycznego systemu kontroli i regulacji glikemii pacjentów oddziałów intensywnej opieki medycznej.

Bibliografia

  1. Athans M., Falb P.L.: Sterowanie optymalne. Wstęp do teorii i jej zastosowania. WNT, Warszawa 1969.
  2. Baranowski J.: Modelling of delay in glucose-insulin dynamics. Bio-Algorithms and Med-Systems, 6(12): 123–130, 2010.
  3. Bauer W., Płuciennik P., Baranowski J., Mitkowski W.: LQ based glucose stabilisation for Intesive Care Unit petients. CMS ’09 Computer Methods and Systems, 26–27 November 2009, Kraków, Poland, Eds. Tadeusiewicz R., Ligęza A., Mitkowski W., Szymkat M., 307–312.
  4. Bauer W., Płuciennik P.: Symulator glikemii pacjenta oddziału intensywnej opieki medycznej (OIOM). Opiekun pracy: dr inż. Jerzy Baranowski. Wydział Elektrotechniki, Automatyki, Informatyki i Elektroniki, Akademia Górnicza-Hutnicza w Krakowie, 2011.
  5. Chee F., Fernando T.: Closed-Loop Control of Blood Glucose. Springer-Verlag, Berlin Heidelberg, 2007.
  6. Haverbeke N., Van Herpe T., Diehl M., Van den Berghe G., De Moor B.: Nonlinear model predictive control with moving horizon state and disturbance estimation – application to the normalization of blood glucose in the critically ill. Proceedings of the IFAC World Congress 2008. IFAC World Congress 2008, 9069–9074, Seoul, Korea, 2008.
  7. Van Herpe T., Espinoza M., Haverbeke N., De Moor B., Van den Berghe G.: Glycemia prediction in critically ill patients using an adaptive modeling approach. Journal of Diabetes Science and Technology, 1(3): 348–356, 2007.
  8. Janeczko-Sosnowska E.: Nagłe skoki glikemii. hiperglikemia jako kluczowy czynnik ryzyka powikłań cukrzycy. DiabetoLOGIA na co dzień, 2(11): 12–15, 2008.
  9. Mitkowski W.: Równania macierzowe i ich zastosowania. AGH Uczelniane Wydawnictwa Naukowo-Dydaktyczne, Kraków 2006.
  10. Zapała E., Strzeszyński Ł., Jaeschke R.: Intensywna insulinoterapia u chorych na internistycznych oddziałach intensywnej terapii. Medycyna Praktyczna, (6), 2006.
  11. Python Programming Language – Official Website. http://python.org

Waldemar Bauer, Paweł Płuciennik