Modelowanie procesów decyzyjnych w finansach i zarządzaniu innowacjami

Agnieszka Jamróg, Andrzej M.J. Skulimowski drukuj

Członkowie SKN Modelowania w Finansach przy Katedrze Automatyki AGH poddają innowacyjne pomysły ocenie doświadczonych ekspertów-praktyków, co ułatwia wybór strategii rozwoju własnej firmy. Ocena ryzyka innowacji oparta na symulacji przyszłych przepływów pieniężnych i analizie opcji rzeczywistych przyczyni się do rozwoju odpowiedzialnej przedsiębiorczości. Przedstawiono zestaw zaawansowanych narzędzi wyszukiwania sieciowego zintegrowanych z bibliograficznymi i patentowymi bazami danych. Ułatwiają one inteligentne filtrowanie informacji, a następnie ekstrakcję trendów technologicznych i wykorzystanie wiedzy przy wspomaganiu decyzji inwestycyjnych. Te badania uhonorowane zostały 1. nagrodą XLVIII Sesji Studenckich Kół Naukowych AGH w 2011 r. – Sekcja Przedsiębiorczości, Jakości, Zarządzania i Finansów.

 

Modeling the decision processes in finance and innovation management

Abstract – This paper shows the historical development and recent research results in financial information modelling and innovation support that has been carried out at the Financial Modelling Student Scientific Organisation affiliated at the Chair of Automatic Control, AGH University of Science and Technology. A new approach to the risk assessment of innovative IT investment can help students’ start-ups as well as university spin-off and spin-outs to select an optimal investment strategy. Further, we present an automatic webcrawler that allows to supply updated bibliographic and patent information in real time. The latter contribution of the organisation’s members has been honored with the 1st place at the 2011’ AGH University’s student competition. The future plans and development prospects will also be presented.

 

1. Obszar badań SKN Modelowania w Finansach

SKN Modelowania w Finansach powstało z inicjatywy studentów kierunków Automatyka i Robotyka oraz Elektronika i Telekomunikacja AGH biorących udział w Międzynarodowej Konferencji 23rd Meeting of the EURO Working Group on Financial Modelling [7]. Obecnie badania skupiają się w ośmiu grupach tematycznych:

  • modele ewolucji technologii, innowacji, przedsiębiorstw, rynków [1],
  • infonometria: modele rynków informacji ekonomicznej i finansowej oraz społeczeństwa informacyjnego [10], e-health i e-government,
  • prognozowanie cen metali, zwłaszcza miedzi i srebra oraz modelowanie innych rynków surowcowych [2],
  • prognozowanie kursów walut, modele rynków walutowych,
  • modele i prognozowanie rynków kapitałowych, mikrostruktura rynków [9],
  • efektywność finansowa inwestycji, modelowanie ryzyka, zastosowania opcji rzeczywistych [7],
  • prognozowanie zapotrzebowania na energię, giełdy energii elektrycznej i derywatów pogodowych,
  • modelowanie decyzji finansowych, systemy wspomagania decyzji i ich zastosowania w finansach.

W pracach koła wykorzystywane są m.in. serwisy internetowe ważniejszych giełd, agencji informacyjnych i biur maklerskich, np. nyse.com, cmegroup.com, gpw.pl, reuters. com, climetrix.com, PolPx.pl, bossa.pl. Działalność naukowa sprzyja powstawaniu ambitnych prac dyplomowych o tematyce związanej z finansami, łączącej metody sztucznej inteligencji i neurocybernetyki [11]. Obecnie przygotowywanych jest 5 prac magisterskich i 6 inżynierskich.

2. Ocena ryzyka innowacji informatycznych

Od 2008 r. SKN Modelowania w Finansach bierze aktywny udział w programie MNiSzW Kreator Innowacyjności. Celem programu jest promocja przedsiębiorczości i wspieranie inicjatyw studentów i pracowników uczelni w zakresie podejmowania innowacyjnych przedsięwzięć, m.in. pomoc studentom, doktorantom, młodym pracownikom nauki i absolwentom wyższych uczelni we wdrażaniu innowacyjnych pomysłów rejestrowanych przez nich w bazie danych www.pbf.pl/innowacje/index.php. Na stronie tej znajduje się też aplikacja wyznaczająca wskaźniki efektywności inwestycji i analizująca ich wrażliwości na zmiany stóp dyskontowej i reinwestycji. Możliwe jest wyznaczanie prognoz przepływów pieniężnych (cash-flow). Dostępne w serwisie narzędzia do wariantowego wyznaczania wskaźników efektywności inwestycji [3, 7] NPV (Net Present Value), wewnętrznych stóp zwrotu IRR (Internal Rate of Return), MIRR (Modified Internal Rate of Return) i minimalnego okresu zwrotu PT (Payback Time) są wykorzystywane do estymacji ryzyka inwestycji, którego podstawowym modelem jest wariancja NPV. W tym celu zaimplementowano moduł symulacji, który pozwala wykorzystać dane opisujące cash flow charakterystycznych wariantów inwestycyjnych do estymacji rozkładu prawdopodobieństwa NPV, a następnie głównych momentów statystycznych: wartości oczekiwanej, wariancji i skośności.

Dla portfela innowacyjnych inwestycji, dla których wyznaczane są te parametry, możliwa jest wielokryterialna ocena i wizualizacja wskaźników w układzie współrzędnych Rentowność-Ryzyko, gdzie rentowność obliczana jest jako iloraz wartości oczekiwanej NPV i zdyskontowanej wartości inwestycji. Przy wyznaczaniu zbioru inwestycji Pareto-optymalnych uwzględniane są korelacje między parametrami różnych wariantów wdrożenia nowej technologii [7].

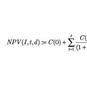
W obliczeniach zdyskontowanych przepływów pieniężnych uwzględnia się zmienność stóp dyskontowych i występowanie opcji rzeczywistych, zarówno pozycji długich, jak i rzadziej rozważanych w literaturze przedmiotu pozycji krótkich, odpowiadających zobowiązaniom inwestora podejmowanym w trakcie inwestycji [4]. Klasyczna funkcja NPV

(1)

zostaje zastąpiona przez funkcję rozszerzonego NPV (Extended NPV), zdefiniowaną wzorem

(2)

Wielkość I jest inwestycją technologiczną scharakteryzowaną przez przepływy pieniężne (C(0), …, C(t)) w kolejnych okresach, t – liczba okresów od rozpoczęcia inwestycji, d=(d1, ..., dt) – średnie oczekiwane skumulowane stopy dyskontowe od t0=0 do zakończenia kolejnych okresów. OVli(Itd) jest wartością
i-tej opcji rzeczywistej (pozycja długa), a OVsj(Itd) – wartością j-tej opcji rzeczywistej (pozycja krótka), dla uproszczenia pominięto argumenty (Itd) w (2).

Przepływy gotówki C(k) są zmiennymi losowymi o rozkładach oszacowanych z próby, na podstawie badań rynku i opartych na doświadczeniu heurystykach. Z reguły właśnie w oparciu o ten ostatni sposób autorzy innowacji definiują trzy warianty przebiegu przedsięwzięcia: pesymistyczny, najbardziej prawdopodobny i optymistyczny. Analiza ryzyka jest wtedy analizą wariancji ENPV o rozkładzie estymowanym przy pomocy metody Monte Carlo. W zależności od ilości okresów, do obliczeń ryzyka NPV mogą być wykorzystane wszystkie kombinacje podanych wariantów C(k) lub wartości losowane z przedziału [pesymistyczne C(k), optymistyczne C(k)] z rozkładem trójkątnym o maksimum odpowiadającym najbardziej prawdopodobnej wartości C(k). Podobnie wyliczane są rozkłady MIRR i PT.

Podczas realizacji programu przez link na stronie www.knmwf.agh.edu.pl zarejestrowano ponad 100 innowacyjnych pomysłów, w przeważającej liczbie związanych z informatyką. Zgłoszenia zawierają opis technologii, produktu lub usprawnienia organizacyjnego, analizę finansową inwestycji i jej efektywność oraz dalsze uwagi i informacje istotne dla oceny pomysłu. Wszystkie dane są opatrzone klauzulą poufności. Rejestracja wniosku w systemie umożliwia weryfikację nowatorstwa pomysłów, powiązania ich z prowadzonymi badaniami naukowymi, określenie zdolności patentowej innowacji oraz szans komercjalizacji przedsięwzięcia. Autorzy wniosku mogą wyrazić zgodę na udostępnienie skróconego standaryzowanego opisu rozwiązania instytucjom zainteresowanym finansowaniem ich pomysłów.

3. Systemy automatycznego pozyskiwania informacji finansowej

Dostęp do aktualnej informacji o otoczeniu makroekonomicznym jest warunkiem sukcesu operacji na rynkach finansowych i surowcowych. Jednocześnie ilość informacji, którą należy przetworzyć wzrasta w ostatnich dekadach wykładniczo i konieczne jest poszukiwanie metod automatycznego wyszukiwania i filtrowania wiedzy, a następnie ekstrakcji użytecznych danych. W tym celu w ramach prac koła stworzono zestaw zaawansowanych webcrawlerów zintegrowanych z lokalną bazą danych. W pierwszej kolejności zaimplementowano aplikacje przydatne przy określaniu perspektyw technologii informatycznych. Przeglądają one bazy publikacji naukowych i bazy patentowe. Webcrawlery łączą się z serwerami, parsują odpowiedzi HTTP, a następnie zapisują do bazy danych linki do artykułów wraz z danymi potrzebnymi do jednoznacznej identyfikacji artykułu oraz danymi służącymi do tworzenia szeregów czasowych, badania trendów oraz uszczegółowienia zapytań [1]. Otrzymane wyniki mogą być użyteczne do oceny perspektyw wdrożeń innowacji zgłaszanych do opisanego systemu, mogą także stanowić część zintegrowanego systemu aktualizacji informacji w bazach wiedzy stosowanych w foresighcie technologicznym [5].

W celu skuteczniejszej analizy zaimplementowano możliwość definiowania złożonych zapytań, zarówno pod względem wyrażeń logicznych, jak i strategii (tytuł, streszczenie, treść, bazy danych) i zakresu czasowego poszukiwania. Dzięki temu możliwe jest badanie konkretnych zastosowań, jak e-handel, finanse, czy logistyka. Wynikiem poszukiwania w bazach bibliograficznych są rekordy zawierajace pola: opis_bibliograficzny, treść_artykulu, analiza_tekstu. Ten ostatni

komponent może być wynikiem przetwarzania automatycznego [8] lub bezpośredniej pracy specjalisty. Bot tworzy logi poszukiwań z danymi umożliwiającymi odtworzenie tych samych zapytań później lub do optymalizacji przyszłych zapytań. Natomiast dane o liczbie znalezionych artykułów w kolejnych latach mogą posłużyc do analizy trendów technologicznych i badawczych. Schemat automatycznego webcrawlera przedstawiono na rys. 1.

4. Dalsze zamierzenia badawcze

Owocna działalność SKN Modelowania w Finansach jest wynikiem zaangażowania entuzjastów poświęcających pasji wolny czas, a czasem i środki finansowe. Jednak historia absolwentów – wcześniej członków koła, którzy osiągnęli stanowiska kierownicze w znanych instytucjach finansowych stanowi zachętę dla podejmowania dodatkowych wyzwań badawczych podczas studiów. Wśród dalszych zamierzeń badawczych członków koła wymienić należy opracowanie metodologii oceny efektywności finansowej przedsięwzięć z zakresu robotyki, wycenę informacji naukowej i patentowej, rozbudowę infrastruktury informatycznej.

Bibliografia

  1. Kwaśniewski G., Marzencki G., Skulimowski A.M.J.: Trendy rozwojowe systemów wspomagania decyzji inwestycyjnych. „Zeszyty Studenckiego Towarzystwa Naukowego”, 23, 2011, 191–198.
  2. Nędza T., Sotwin J., Winiarz J.: Analiza i prognozowanie Cen Miedzi. „Zeszyty Studenckiego Towarzystwa Naukowego”, 23, 2011, 231–236. 
  3. Rogowski W.: Rachunek efektywności inwestycji, Wyd. II, Wolters Kluwer, Warszawa 2008.
  4. Skulimowski A.M.J.: Metody roadmappingu i foresightu technologicznego, „Chemik”, 42, 2009, 197–204.
  5. Skulimowski A.M.J.: Future trends of intelligent decision support systems and models. [w:] Park J.J., Yang L.T., Lee C. (eds.): Future Information Technology: 6th International Conference, FutureTech 2011, Loutraki, Greece, June 28–30, 2011, CCIS, Vol. 184, Springer-Verlag, Berlin, Heidelberg 2011, 11–20.
  6. Skulimowski A.M.J. (red.): Financial Modelling, Proceedings of the 23rd Meeting of the EURO WG on Financial Modelling, Cracow, October 8–10, 1998, Progress & Business Publishers, Kraków 1999.
  7. Skulimowski A.M.J., Rotter P.: Zastosowanie analizy wielokryterialnej do planowania i wyboru wariantów inwestycji, Modelowanie Preferencji a Ryzyko’ 04 – Prace Naukowe Akademii Ekonomicznej w Katowicach, Katowice 2004, 461–480.
  8. Skulimowski A.M.J., Schmid B.F.: Redundancy-free description of partitioned complex systems, „Mathematical and Computer Modelling”, 16(10), 1992, 71–92.
  9. Strzelczyk P.: Prognozowanie kursów akcji przy pomocy zmodyfikowanego wskaźnika OBV, „Zeszyty Studenckiego Towarzystwa Naukowego”, 15, 2008, 227–235.
  10. Suchan B.: Modelowanie Ewolucji Wskaźników Społeczeństwa Informacyjnego. „Zeszyty Studenckiego Towarzystwa Naukowego”, 6, 2006.
  11. Tadeusiewicz R. (red.): Neurocybernetyka teoretyczna, Wydawnictwa Uniwersytetu Warszawskiego, Warszawa 2009.

Agnieszka Jamróg, Andrzej M.J. Skulimowski
AGH Akademia Górniczo-Hutnicza, Katedra Automatyki, Koło Naukowe Modelowania w Finansach